财务与会计法规
税费法规
税收征收管理
增值税
消费税
出口退(免)税
资源税
车辆购置税
企业所得税
个人所得税
土地增值税
印花税
房产税
城镇土地使用税
车船税
契税
耕地占用税
船舶吨税
烟叶税
城建税与教育费附加
税收条约
环境保护税
税费专题
政府性基金、费
营业税(已废止)
财务与会计法规
会计行政管理
企业会计准则
企业会计准则
企业会计准则应用指南
企业会计准则讲解
企业会计准则解释与解答
企业会计准则实施问答
企业会计准则应用案例
会计处理规定
证监部门会计监管规则
交易所会计监管动态
企业会计准则实务问答
企业会计准则会计科目与主要账务处理
企业会计准则其他
小企业会计准则
企业会计制度与2006年前会计准则
政府会计准则制度
政府会计准则
政府会计准则应用指南
政府单位会计制度
财政总会计制度
政府会计准则制度解释
政府会计准则应用案例
政府会计实施问答
关于应收款项的会计处理
关于预付款项的会计处理
关于存货的会计处理
关于投资的会计处理
关于固定资产的会计处理
关于无形资产的会计处理
关于公共基础设施的会计处理
关于应付职工薪酬的会计处理
关于净资产及预算结余的会计处理
关于收入的会计处理
关于预算管理一体化的会计处理
其他会计处理
政府会计准则其他
事业单位会计准则(已废止)
非营利组织会计制度
特定组织与项目会计核算规定
可持续信息披露准则
可持续披露准则
可持续披露准则应用指南
管理会计
代理记账
财务管理
国际会计准则
注册会计师法规
执业准则
执业准则应用指南
审计指引
职业道德守则
审计准则问题解答
地方注协专家提示与业务指引
会计师事务所管理
会计信息质量检查
证监部门审计监管指引与会计风险监管提示
注册会计师其他
注册税务师法规
涉税专业服务基本准则
税务师执业规范
职业道德、质量控制、程序指引
纳税申报代理类业务指引
一般税务咨询类业务指引
专业税务顾问类业务指引
税收策划类业务指引
涉税鉴证类业务指引
纳税情况审查类业务指引
其他税务事项代理类业务指引
税务师事务所管理
税务师其他
资产评估师法规
资产评估执业准则
资产评估指南
资产评估指导意见
资产评估操作指引
资产评估专家指引
资产评估其他法规
内部审计法规
内部审计准则
内部审计实务指南
内部审计其他
内部控制法规
企业内部控制
企业内部控制基本规范
企业内部控制应用指引
企业内部控制评价指引
企业内部控制审计指引
企业内部控制操作指南
企业内部控制相关问题解释
企业内部控制其他
行政事业单位内部控制
行政事业单位内部控制规范
行政事业单位内部控制评价
行政事业单位内部控制其他
金融证券法规
金融法规
金融监管总局
央行
外汇管理局
外汇交易与银行同业拆借中心
银行间交易商协会
其他金融法规
证券法规
证监会
上交所
深交所
北交所
股转系统
中登公司
期交所
商交所
金交所
中金所
中基协
中证协
中上协
中期协
其他证券法规
其他财经法规
国务院
财政部
国有资产监督管理
国家审计
海关
商务部
发改委
工信部
科技部
市场监督管理
人社部
医保局
自资部
住建部
知识产权局
其他部门法规
地方财税法规
江苏财经法规
江苏税费法规
江苏无锡财税法规
北京财税法规
天津财税法规
上海财税法规
重庆财税法规
浙江财税法规
安徽财税法规
福建财税法规
广东财税法规
广西财税法规
海南财税法规
云南财税法规
贵州财税法规
江西财税法规
湖南财税法规
湖北财税法规
四川财税法规
西藏财税法规
河南财税法规
河北财税法规
山东财税法规
山西财税法规
陕西财税法规
甘肃财税法规
宁夏财税法规
青海财税法规
新疆财税法规
吉林财税法规
黑龙江财税法规
辽宁财税法规
内蒙古财税法规
法律及司法文件
法律
法院
检察院
司法部
民法典相关
公司法相关
破产法相关
法律法规征求意见稿
财务管理
18sad7aowi2d9
全文有效
2025-12-04
2025-12-04
财政部关于企业重组有关职工安置费用财务管理问题的通知
财企[2009]117号  发布时间:2009-06-25   来源:天赋长江(无锡)税务师事务所-江阴大桥会计师事务所 作者:admin 
 

党中央有关部门,国务院各部委、各直属机构,总后勤部、武警总部,全国人大常委会办公厅,全国政协办公厅,各中央管理企业,各省、自治区、直辖市、计划单列市财政厅(局),新疆生产建设兵团财务局:

国家出资企业在改制、产权转让、合并、分立、托管等方式实施重组过程中,职工安置问题事关有关人员的切身利益、企业的健康持续发展以及构建和谐社会大局。当前,在有关职工安置费用的财务管理中,存在制度不健全、政策不统一、执行不规范等问题,导致国有资产流失和社会分配不公。为进一步规范企业重组行为,正确评估企业净资产价值,维护职工和国有权益,现就涉及产权关系变动、股权结构调整的企业重组中,有关职工安置费用财务管理问题通知如下:

一、企业重组过程中,按照国家有关规定支付给解除、终止劳动合同的职工的经济补偿,以及为移交社会保障机构管理的职工一次性缴付的社会保险费,按照《企业财务通则》(财政部令第41号)第六十条规定执行,其中产权转让的按本通知第七条规定执行。

二、企业重组过程中涉及的离退休人员和内退人员有关费用,应按照“人随资产、业务走”的原则,由承继重组前企业相关资产及业务的企业承担。

企业对上述费用实行预提的,在重组过程中评估企业净资产价值时,根据权责一致原则,对企业资产未来可能实现的收益,也应当予以评估确认。

企业对预提的上述费用不符合本通知规定的,在重组过程中评估企业净资产价值时,应当按照本通知规定予以调整确认。

三、企业重组过程中,对符合重组企业所在设区的市以上人民政府规定的离退休人员统筹外费用,经批准可以从重组前企业净资产中预提,预提年限应当按照中国保监会发布的《中国人寿保险业务经验生命表》计算。

国家对离休人员安置另有规定的,从其规定。

四、企业重组过程中,对符合法律、行政法规以及国务院劳动保障部门规定条件的内退人员,其内退期间的生活费和社会保险费,经批准可以从重组前企业净资产中预提。

内退人员的生活费标准不得低于本地区最低工资标准的70%,同时不得高于本企业平均工资的70%,并应与企业原有内退人员待遇条件相衔接,经职工代表大会审议后,在内退协议中予以明确约定。

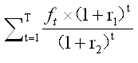
五、重组企业按照本通知第三、四条预提的有关费用,应当分别计算离退休人员和内退人员的预提年限,并以重组基准日相关费用为基数,以同期限历史平均通胀率计算未来各期企业应支付的费用后,再按照同期限银行贷款利率进行贴现计算。预提费用计算公式如下:

一次性预提费用=

 

  

六、企业实行分立式重组,将离退休人员和内退人员移交存续企业或者由上级集团公司集中管理的,上述预提费用由重组后企业以货币资金形式支付给管理单位。重组后企业如货币资金不足,可以自重组完成日起5年内分期支付,但应当按照重组基准日5年期银行贷款利率向管理单位支付分期付款的利息。有关利息支出作为重组后企业财务费用处理。

七、企业重组涉及产权转让的,按照本通知第一条、第二条规定应当支付、缴付或者预提的各项职工安置费用,在资产评估之前不得从拟转让的净资产中扣除,也不得从转让价款中直接抵扣,应当从产权转让收入中优先支付。对已经按照《企业会计准则》预提的职工安置费用余额,在资产评估之前应当调增拟转让的净资产。

八、重组企业离退休人员及内退人员的管理单位应当对预提费用实行专户管理,并按约定从专户中向相关人员支付费用。预提资金不足支付相关费用的或者有结余的,按《企业会计准则》的相关规定计入管理单位当期损益。

九、本通知自发布之日起施行。以前各地区、各部门有关财务规定与本通知不一致的,以本通知为准。本通知施行前已经按规定报经批准的企业重组行为与本通知不一致的,不予追溯调整。

 

财政部

二○○九年六月二十五日

 

扫一扫,打开该文章

相关文章 查看更多>>
【打印】      【关闭】
版权所有:天赋长江(无锡)税务师事务所
地址:江苏省江阴市长江路169号汇富广场22楼
电话:0510-86855000 邮箱:tfcj@tfcjtax.com
苏ICP备05004909 苏B2-20040047